Постоянный адрес моего сайта - exler.es. Адрес exler.ru больше не существует
Математическое предотвращение истерик
- У него есть система во всём, у него даже есть система в том, как есть блины!
- А как есть блины?
- Их надо есть, начиная с нижнего, чтобы блин не остывал.
Математики - ребята такие, ушлые. Они любую гармонию поверят алгеброй. Вот тут нынче один математик сумел вычислить, как предотвратить истерику ребенка в самолете. Открытие совершенно эпохальное! Оказывается, чтобы ребенок не истерил, его, значить, нужно чем-нибудь, значить, занять. Мультик посмотреть, яблочко погрызть, музычку послушать. Полезная вещь - математика!
По расчетам специалистов Asda Money, истерика у детей случается в среднем через 27 минут и 48 секунд после взлета, а каждый эпизод длится в среднем 15 минут и шесть секунд. Хотя родителю такой промежуток времени может показаться не слишком долгим, во время полета он покажется вечностью.
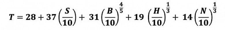
Кроуфорд использовал данные аналитиков Asda Money, добавив четыре основных раздражителя, из‑за которых дети начинают нервничать в полете: сонливость (S), скука (B), голод (H) и шум (N). Каждый из этих факторов в формуле может иметь значение от 0 до 10: 0 означает, что проблема полностью игнорируется, а 10 — успешно решается.
Если подставить все переменные в уравнение, можно высчитать время в минутах (T), через которое начнется истерика.
Ученый объяснил, что если все четыре раздражителя получат 10 баллов, родитель сможет отсрочить истерику на 129 минут. Конечно, это мало, однако полтора часа — продолжительность многих внутренних перелетов.
Помимо формулы, Кроуфорд предложил алгоритм действий родителя, необходимый для предотвращения истерики. Итак, дети во время полета должны спать 37 минут, 31 минуту смотреть мультфильмы, 19 минут кушать, а еще 14 минут слушать музыку. (Отсюда.)
Я, кстати летала неоднократно с детьми, одна, с пересадками, с маленькими типа год, три и пять. Без всяких истерик
- У вас прибор неисправный, я не пил, - возмущается мужик.
- Нет, прибор исправен, вы пили, - говорит гаишник.
- Ну вон жену мою проверьте.
Инспектор проверяет жену, прибор снова показывает наличие алкоголя.
- У вас прибор неисправен, я не пила, - кричит жена.
- Нет, прибор исправен, вы тоже пили, - говорит гаишник.
- Проверьте сына.
Инспектор проверяет сына, мальчика лет пяти. Мальчик дует в алкотестер, прибор зашкаливает.
- Странно, может и правда сломан, - чешет репу гаишник. - Ладно, езжайте.
Машина отъезжает. Муж:
- Ну вот, а ты говорила: малому не наливать, малому не наливать…
П.С. если фиттить к полиномиал, то ничего обосновывать не надо. Наверное.
Кажется, это называется "полный факторный эксперимент", но я могу ошибаться.
Если на словах: есть какой-то объект, который находится в среде из множества факторов. Прям обсуждаемый случай. Исследователь искусственно создает комбинации факторов, всех, которые может придумать (комбинации составляются из минимальных и максимальных значений факторов). Фиксирует поведение объекта (один выходной параметр) для каждой комбинации входных факторов.
И вот после такого сбора информации каким-то образом составляется уравнение, подобное этому, про истерику.
При тех членах, которые описывают несущественные факторы, весовые коэффициенты будут стремиться к нулю. Так мы узнаем, что, например, время суток или пол ребенка на время до истерики не влияет, или этим влиянием можно пренебречь.
Буду благодарен за ссылку, или хотя бы корректное название этой вот лабуды.
Когда нужно не подсчитать y по известным x и f. И не найти x, удовлетворяющее y=f(x). А когда нужно найти саму f.
Обычно есть два варианта: найти коэффициенты для уже известной f; найти из каких-то соображений общий вид функции (полином, сумма/ряд, тригонометрическая сумма и тд) и ее коэффициенты/параметры.
В физике так можно определить зависимость между величинами, исходя из их размерностей (то же E=mc²). Но ни в какой физической, химической или социологической формуле не встречается показатель 4/5. Он просто не имеет смысла в реальной жизни.
Да, я не пытался выступить за справедливость обсуждаемой формулы - мне тоже показатели степени не понравились. Трудно представить рассуждение, которое привело бы исследователя к таким значениям. Тем более в ситуации, когда параметр измерить невозможно. То есть, время до начала истерики засечь реально (и то, с оговорками, истерика - не светодиод). А вот уровень сонливости или голода - очень субъективно.
Я эту задачу (нахождение f) помню из институтского курса. Нужно было определить зависимость коэффициента усиления от факторов среды, в которой работает усилитель. Плату надо было помещать в печку/холодильник с максимальной/минимальной температурой, потом в магнитное поле, тоже - мин/макс, и т.д. С этим всё понятно. Но вот потом - была какая-то методика определения весовых коэффициентов для каждого параметра. Вот это напрочь забылось. А самое главное - вид каждого члена этого многочлена.
Поскольку я не математик, а инженер, методика меня восхитила впоследствии, а на тот момент - ну сдал зачет, и ладушки.
Ребёнок, спи - ать-два!
Но как-то, сильно погуляв на местной свадьбе, не поехали домой в столицу, а остались ночевать. И тут выяснилось, что деревня стоит на холме, под которым проложен железнодорожный тоннель, где ровно в два часа ночи проходит экспресс, вызывая лёгкое землетрясение. А чем ещё заняться простому крестьянину в теплой постели, когда его будят?
ЗЫ. Кстати, хотя я уже не живу там тридцать лет, звуки железной дороги (любые) для меня ни разу не помеха для сна.
А для депутатов так можно?
Не говоря уже о том, что на взлете и посадке вас бы попросили их снять.
А Вы точно математик? (с)
ps. Ну либо писать, что отсрочить истерику не "на", а "до" 129 минут (вместо 27) ))
©
так и получилось. меня спасла как раз та самая 0,7 а жена мучалась от криков детишек. в итоге я проспал в среднем ряду (3-4-3 вроде было) (747й, как раз на вытянутые ноги подходит для моего роста) на полу.
Ну и с наушниками ещё надо иметь, что слушать, а вискарь - он самодостаточный.
Правило, выработанное после жизни в семье алкоголиков -- алкоголь пить только когда хорошо. 😄. И на природе.
Но, главное, не курить. Эти штуки и по отдельности зло, но вместе - зло в квадрате.
🤦♂️делают те, кто помнит, что такое настоящий факторный анализ.
- А как есть блины?
- Их надо есть, начиная с нижнего, чтобы блин не остывал.
И, доедая, кивнуть, чтобы пока дочавкиваешь, кухарка успела испечь следующий блин.
И чтобы было время подумать о чeм-то возвышенном.
"Самолет попадает в болтанку.
Стюардесса:
"Так, прекратить панику, хватит орать, сели по местам, ты куда блюешь, чудо - есть же пакетики, пристегнулись, как дети прям! Успокоились? Точно??
Ну вот, молодцы, теперь пойду успокою пассажиров.""
Когда самолёт вошёл в зону сильной турбулентности, стюардесса попыталась успокоить пассажиров, но из-за её спины предательски выглядывал парашют.
Дочка первоклассница спрашивает у отца математика, как написать восьмёрку. "Это очень просто, доченька - поверни знак бесконечности на угол Пи пополам"
з.ы. Последнее - это я не химик, а нагуглил, так что может вообще быть левым.
"А с кем вы сейчас разговаривали? Просто сделайте, чтобы у нас все работало..." (с)
И отсрочить можно максимум на 111 минут, а не 129.
То есть если рейс меньше 129 минут, то истерика избежна.
А так всё правильно (с)
/сарказм
И тогда - решить проблему предложенным способом.
Тут уж что лучше.
Ну или на вечную ссылку к бабушке.
- Все просто: угрозы, шантаж, подкуп..." (с)
Хотя нет, это про поезд... 😄
Причём горячий лом не в смысле hot, а разогретый в печке, потому что иначе канализацию не пробить.

