Постоянный адрес моего сайта - exler.es. Адрес exler.ru больше не существует
Каталония и коронавирус

Заметка в El Periodico "Torra anuncia para "las próximas horas" nuevas medidas contra el covid".
Президент правительства Каталонии Ким Торра объявил о том, что в ближайшие часы будет сообщено о новых мерах против ковида. Торра заявил, что в автономии "без вариантов" должны быть открыты школы и что люди должны вернуться к работе, но при этом должны быть приняты все соответствующие меры безопасности.
Также он, конечно же, не забыл упомянуть об Индепенденсии. Потому что в такое сложное время только независимая Каталония, сбросившая с себя оковы угнетателей, сможет справиться с ковидлом.
(Прим. Экслера.) Если учесть, что центральное правительство всякие меры по противодействию ковиду целиком переложила на власти автономий, то не очень понятно, в чем здесь логика. Кстати, в Каталонии сепаратистские партии пересобачились друг с другом просто вусмерть, так что будущее Индепенденсии пока туманно.
Ну, посмотрим, какие новые меры они введут. Намордники, перчатки, шапки-ушанки - я думаю, что будет полный ассортимент. Еще наверняка учителей заставят пластиковыми щитками лица закрывать - вроде в Украине этот милый дурдом хотели ввести, насколько я помню. Но это, кстати, очень правильно: щитки будут защищать учителей от плевков жеваной бумагой из трубочек, так что мы с Бубликом это всецело одобряем.
Интересно также, как изменилась тональность заявлений Торры. Еще совсем недавно он грозил снова всех по домам на цепь посадить. А тут вдруг "без вариантов" должны быть открыты школы, люди должны вернуться к работе. Видать посчитали - прослезились.
Но ни одна чиновничья сволочь не призналась в том, что приказ запереть людей на два месяцам по домам без права даже просто выйти на прогулку - он просто-таки преступный. И никто из них в этом не признается никогда.
Кстати, интересно наблюдать, как тут модифицировалась всегдашняя маньяна под воздействием всего этого коронабесия. Особенно это касается всяких государственных учреждений. Туда и раньше-то было прорваться очень сложно, а теперь - ЭПИДЕМИЯ ЖЕ - создается такое впечатление, что они вообще перестали работать. Но их можно понять! Раньше-то кто хотел мог с улицы зайти и стребовать какую-то бумажку, и им приходилось принимать аж пятьдесят человек в день. А сейчас просто так с улицы зайти запрещено, нужно заранее записываться через Интернет или по телефону, количество посетителей чиновники теперь регулируют сами, ну и, понятное дело, всегда проще записать пять человек в день, а не пятьдесят. И это касается очень многих учреждений.
Brian Lee Hitchens and his wife, Erin, had read claims online that the virus was fabricated, linked to 5G or similar to the flu.
The couple didn't follow health guidance or seek help when they fell ill in early May. Brian recovered but his 46-year-old wife became critically ill and died this month from heart problems linked to the virus.
одно дело написать - не понимаю и не приемлю самодурства местных чиновников что решили бла...
отличается от - не понимаю и не приемлю мнения местных врачей согласно консультации с которыми местные чиновников решили бла...
так они сами как попало решают или все таки с кем-то консультируются? может с врачами? может врачи плохие? я просто задаю дурацкие вопросы потому что ответов не видел.
Но не признается в этом никогда.
Вот мнение Алекса насчет карантина в Москве (30 марта):
Как долго должен длиться карантин:
Но что делать, если экономика страдает? Отвечает Алекс с выдержками из статьи ниже (31 марта):
И т.д., и т.п. Как я понял, мнение Алекса начало меняться, когда карантин затронул не москвичей или китайцев, а его самого.
В отличие от, например, британского премьера. Я уж молчу про то, что весной Алекс вполне себе выходил на прогулку и демонстрировал нам довольную морду. И адекватностью полицейских, выписывавших штрафы, был доволен. Блог всё помнит!
Т.е. если я сказал своим друзьям - я думаю, что хорошо бы больному дать лекарство Х, и при этом врачи об этом не знают и я не врач - мне извиняться не за что. Если врач дал лекарство Х, а больной помер - врачу есть за что извиняться. Тем более, что вскрытие показывает, что нужно было другое лекарство. Ну, а Экслер вообще говорил что-то типа - «молодцы врачи, что быстро и уверенно прописывают лекарство и сто они уверены, лекарство Х поможет». Да можно извиниться за излишнюю веру, но не за ошибку врача.
А оказалось. что уже растянулось почти на полгода. На такое мало кто рассчитывал.
Сейчас когда все более или менее под контролем, и проверок достаточно (в странах где их делают много), перешли на тактику локальных карантинов в местах, где есть вспышки заболевания.
Даже в неразвитых странах вводят, Сектор Газа в карантине.
В Японии, например, карантина для всех не было ни раньше, ни сейчас, ни в какой степени локальности - изолируют только тех, у кого были прямые контакты с выявленными больными и тех, кто прилетел из других стран, причём ровно на 2 недели, не больше. Результат не хуже, чем у Испании. Т.е. карантин в испанско-итальянском виде, похоже, был ни разу не нужен.
Не успели в Гонконге ученые обнаружить первый случай повторного заражения ковидом через 4.5 месяца после первого (и то, мне попадались заметки, что нужно проверить, может, это - исключение, в любом случае - формулировки весьма аккуратные и осторожные в статьях)
Как что вы думаете, где в мире тут же оказался подтвержденный самим Marc Van Ranst случай повторного заражения уже в 20:29 того же дня? Конечно же - в Бельгии, 3 месяца спустя, вирус с 11 мутациями, и здесь всё однозначно - двух мнений быть не может.
Воистину, родина слонов и бюрократии. Так что мы, конечно, посмотрим пока, чем Каталония удивит, но козырь в рукаве у нас уже припасён.
Ложечки, говорите, нашлись?
Быков об этом, и о своем, случае (below). Он уверен, что его хотели припугнуть, и что "если бы хотели убить, то убили бы". Так же сказал, что никогда не считал себя до этого оппозицией, достойной устранения, и удивился, что ему оказали такую честь.
Кароч. Алекс, не пей чая в аеропорту, когда поедешь в Москву! Мы, конечно, на самолет скинемся, но конTаKтов на уровне Меркель и Макрона у нас (ОК, у меня лично) нет 😁.
www.bnr.nl
Ингибиторы ацетилхолинэстеразы:
ru.wikipedia.org
"Hу, мы тебя таким и представляли".
Я тут одну вещь увидел, которую сразу не заметил. Там из трех человек прилетевших (врачи из Москвы), один был военный реаниматолог, второй военный нейрофизиолог. Так что они про нейротоксин или знали, или серьезно подозревали, по моему особо ценному мнению.
Но на голубом глазу п..дели про «нарушение обмена веществ» и «гликемическую кому».
Не говоря уже о том, что сузившиеся в точку зрачки и неспециалист заметит
«Навального увезли в Германию )) Сейчас будем весело смотреть, как у обвинителей кровавого режима рвется парадигма ))))»
Каков слог? И ничего не жмет, думаю, скоро снова придет сюда
Кстати, интересно, могут атропин давать "на всякий случай"? Mожет, экслеру с собой тоже возить, как анальгин и активированный уголь? 😁
Пиридостигмин 3 раза в день по 30 мг
"Безусловно, если товарищ Навальный отдаст Богу душу, то лично я преследовать его на этом свете не намерен. Отложу это на неопределенный срок. А позже отыграюсь со всем удовольствием. Если же Навальный будет жить, то он должен ответить по всей строгости российского закона", - сказал бизнесмен.
Вот здесь - о том, что у бессимптомных находится небольшое повреждение легких, возможно, обратимое.
www.npr.org
О повреждениях мозга (что неудивительно, если вспомнить о многодневном кислородном голодании и несбиваемой температуре):
www.nejm.org
55% переболевших все еще страдают от неврологических осложнений
www.marketwatch.com
Я не врач, но явно нужны повышенные меры по личной гигиене. Кучу айтишников освободили от посещений офисов. Знакомый инженер из Гугла говорит, что они теперь целый год будут работать из дома, все собрания по интернету. Он с невестой переехал подальше, в большой дом, у обоих по кабинету. Ее тоже отпустили с работы, поскольку она все равно на компе почти все делает.
Ну и маски, конечно. Они снижают заразу от больного существенно, и даже слегка защищают самого носящего, где-то на 30%. Но по мне - и это хорошо.
"Our study has limitations. The findings are not validated for the use in pediatric patients 18 years and younger. They also do not represent patients during acute COVID-19 infection or those who are completely asymptomatic with COVID-19."
там всего по не многу.
Комсомолка нервно курит в сторонке.
там всего по не многу.
Комсомолка нервно курит в сторонке.
Проблемв состоит в том. что существует огромная часть людей, которых на удаленку не посадишь: медработники, работники транспорта, инфраструктуры, торговые и складские, работники производства. При таком подходе, мы заведомо считаем их изгоями, некими "морлоками". А осутствие на улице удаленщиков не очень их предохраняет от заражения. Так у нас на работе. больше всего случаев было у складских работников и именно во время самого строгого периода самоизоляции.
А кто должен этой "избранной расе" давать возможность безбедной домашней жизни?
Видимо, ваши складские сачковали с гигиеной.
24 августа. Алекс называет преступным введение жесткого карантина в Каталонии...
И совсем другое дело, когда уже есть и статистика, и тактика борьбы и понимание что это такое, НО на местах популисты начанают творить НЁХ с цель прикрытия афедроновъ...
24 августа. Алекс называет преступным введение жесткого карантина в Каталонии...
Это уже много раз обсуждали. В начале, когда никто ничего не знал, коек не хватало и маски тоже не особо помогали, кстати, его логично было вводить. Теперь, спустя полгода, когда треть уже переболела, опыт есть, коек хватает, вводить те же меры странно. А вот если коек по-прежнему не хватает, как и врачей, так это не масками надо спасаться. А спрашивать - почему так?
Когда я вчера засыпал, на планете было миллиардов семь. Я проспал армагеддон и содом с гоморой что особенно обидно?
Также я помню сообщение в мае(!), что в Москве у случайной выборки людей у 12% выявили антитела к вирусу. Т.ею они уже переболели или болели в тот момент. За три месяца такие неучтенные должны были перезаразить практически всех остальных. Может, это сообщение было фейковым, как и многие другие 😄 Но в ЭТУ картину мира укладывается хорошо. Опять же - Швеция.
Но сначала предложите свое объяснение Вы.
Даже не представляю как это можно объяснить. Ума не приложу.
Видишь цифру 23,640,436 вчера в шесть вечера? 23,838,303. +двести тысяч меньше чем за 24 часа это так себе "не растёт". И это при шут знает сколько их реально в индиях да бразилиях.
Здесь такая же система с работой госконтор. Мне нужно взять бумажку на 1 этаже, что я - не верблюд, и отнести её на -1 этаж, раньше это делалось за 15-20 минут максимум (оставим за скобками вопрос, почему в Самой Важной Базе Данных нельзя просто поставить галочку "не верблюд", чтобы никому вообще бегать не приходилось никуда, это - Бельгия).
Так вот, сейчас я пишу емэйл на 1 этаж, они мне отправляют бумажку почтой (неделя), потом (а, точнее, еще заранее, ибо я не первый год в Бельгии) я пытаюсь назначить встречу на -1 этаж СТРОГО по электронной почте (иначе нельзя). Раньше там был сайт с календарем, но это они уничтожили сразу же, чтобы было Чиновнику удобнее и отследить было нельзя.
Так вот, шлете письмо и сразу же приходит автоответ, что они сейчас перегружены, ответить не могут и до 10 рабочих дней им повторный запрос не слать. 10 рабочих дней прошло - никто не ответил, отправил повторно. Пришёл автоответ, что они теперь вообще-вообще перегружены и из-за бага в системе многие письмо просто удалились, и 10 дней ВАЩЕ строго не беспокоить!!! Пошел лично в это учреждение уже по другой бумажке через 5 дней и случайно наткнулся на какую-то добрую тетку, которая... думаете, вот просто взяла эту первую бумажку у меня ? Хрен, это было бы не по-бельгийски. Она спустилась вниз на -1 этаж, минут 5 ее не было, каким-то чудом взяла личный емэйл начальницы этого департамента (ну не личный, а такой личный-рабочий вместо условного общего pishite-v-nikuda@belgium.chinovnik.be), куда мне... Кто сказал "можно отправить скан"?? Вы что, нет конечно. Мне нужно написать, чтобы таки уже взять рандеву на какую-то дату. При этом тётя доверительно добавила, что на общем pishite-v-nikuda@belgium.chinovnik.be вообще завал и на письма там никто уже просто не отвечает, а тут - хотя бы какой-то шанс есть.
Отправил, пока жду ответа. Шла четвертая неделя перемещения мной бумажки с этажа на этаж. Разумеется, при этом переносов никаких предельных сроков без санкций для меня нет. Не успел до нужной даты - сам виноват, вот как хочешь - так и выкручивайся.
Сейчас постепенно открывают, но таааак неспешааа.
Муж подал на гражданство в конце мая.
Потом надо идти и сдать отпечатки пальцев и сфотографироваться. Это делается в специальной конторе (раньше можно было на почте это сделать, но это слишком просто - надо нанять контору с офисом в Сити и делать все по аппойнтментам, а не когда пацакам захочется). Естественно, аппойнтменты закрыли. Просто сидите и ждите (при этом, что бы было понятно плата за подачу заявления не пять копеек, а полторы штуки фунтов). Два месяца ни привета, ни ответа. На мэйлы не отвечают, дозвониться (телефон - платный!) невозможно. Потом открыли аппойнтменты, бесплатных или минимум был или расхватали быстро - муж взял платный (еще полторы сотни), но зато через 3 дня. Пришли. Офис в Сити, на входе человек в маске с дезинфектором для рук. провели нас по коридору. Там в отдельном офисе сидит человек, за стеклом, в маске и в перчатках. Сфотографировал, снял отпечатки пальцев и подпись (все делаешь в приборчиках сам, человек в маске и перчатках тебя не касается, надо снова продезинфицировать руки). Документы все были уже загружены в систему, принесенные даже не стал смотреть.
Зато потом - через две недели - мэйл. Поздравляем. Но вы не гражданин, пока не поклянетесь. А церемонии с клятвами сейчас не проводятся, и там уже скопилась безумная очередь. Когда позовут клясться (еще около сотни денег) - не понятно. А потом еще паспорт заказывать (еще 80) - там говорят ужас ужасный. Короче, главное не забывать денег брать с населения, а работать - ну это потом.
Эта история прикольно бы звучала из уст Camel1000
Ну укажите вы адрес другого Чиновника и всё, пусть он её получит и в папку подошьёт. Но это было бы слишком просто для Бельгии - без двух рандеву всё сделать )
плата за подачу заявления полторы штуки фунтов
Итак, полный путь Справки: запрос по электронке - распечатка на 1 этаже - отправка по почте - получение - 3 недели попыток записаться - ответ Чиновника - сканирование - отправка но электронке - получение Чиновником на -1 этаже - распечатка им справки - вложение в досье.
Пожалуйтесь мне кто-то ещё на российскую бюрократию, тут традиции многовековые, поколениями взрощенные!
Вы хоть иногда факты проверяете?
P.S. Я знаю, что к Daily Mail здесь многие относятся негативно, но всё-таки.
"Thousands of clinical trials to find life-saving drugs and therapies for cancer and heart disease have been stopped because of Covid-19, scientists warn"
https://www.dailymail.co.uk/news/article-8658333/Thousands-clinical-trials-suspended-abandoned-wake-Covid-19.html
И так, потому что пока проблемы были положить ее на операцию из-за известных событий, пришлось удалять много чего.
А если еще откладывать химиотерапию - обрекать женщину на скорую смерть.
Мне в свое время пришлось очень плотно общаться с онкологами. Причем с теми, которые наукой занимались.
Вашей родственнице пожелание выздороветь.
Вот из-за таких тупорогих в руководстве и забили на плановое лечение, ведь в период пандемии не может существовать других заболеваний кроме ковида.
Не морщи многозначительно узкий лобик.
2. Если бы ты работал в медицине, то слышал бы как минимум о том, насколько подавляет химиотерапия иммунитет. Не звизди.
Пабы работают, а библиотеки нет. Это рассадник заразы, туда же толпы обычно ломятся.
в общем, есть куда развернуться в части "что бы еще сделать под лозунгом НАДО ЖЕ ЧТОТО ДЕАТЬ!" ))
в общем, чем больше давят тупыми требованиями, тем меньше эти требования выполняют.
поэтому, скоро, надеюсь, устанут истерить и изображать #надожечтотоделать... хотя увы, это слишком удобно для ограничителей-запретителей ((
Сколько случаев в конторе - никто не знает. Ну так спросите у коллег. 150 это не 1 500. И если у вас там смертность как по знаменитым графикам - устройте забастовку. Или добровольно носите маску и перчатки, кто ж вам запретит. Ну и старайтесь не целоваться ни с кем в офисе.
upd: извините, не сразу было понятно, что это у нее 150 человек в офисе, а у вас - не ясно сколько. Но если только вы не работаете в Гугле, то, я думаю, все равно сарафанное радио работает и телефоны коллег есть, узнать кто не вернется в офис, вероятно, не так сложно...
Если альтернатива - то я вообще за две маски! И за ласты еще!
Только не очень понятно в каком месте это альтернатива... Примеров того, как вовремя введенный локдаун останавливал подъем заражений - навалом, на любой вкус. Да, для экономики ядерная бомбардировка, наверное, получше была бы, но остановить заражения так точно можно.
А вот весь этот бал-маскарад во многих странах уже 4й месяц идет, и где хоть одна история успеха? В Испании подъем, в Германии подъем, в Швеции ... oh, wait... в Швеции-то ни масок, ни подъема.
Это вы на ВОЗ плюете?
"At present, there is no direct evidence (from studies on COVID19 and in healthy people in the community) on the effectiveness of universal masking of healthy people in the community to prevent infection with respiratory viruses, including COVID-19."
мой перевод:
"В настоящее время нет прямых доказательств (из исследований COVID19 и у здоровых людей в обществе) об эффективности ношения масок здоровыми людьми в обществе для предотвращения заражения респираторными вирусами, включая COVID-19."
отсюда apps.who.int , страница 6
Впрочем, я с вами! Мне этот ВОЗ тоже не нравится!
80-90% процентов получилось. Неплохо, неправда ли? И что по короновирусу? Средний рост числа случаев - на 26% в неделю в последние пять недель...
Кстати, вот вам еще один ковид-диссидент - Андерс Тегнелл. Статья ((www.bild.de к сожалению только по подписке, но некоторыми цитатами хочу поделиться:
Zu glauben, dass Masken unser Problem lösen können, ist sehr gefährlich.“
„Das Resultat, das man durch die Masken erzeugen konnte, ist erstaunlich schwach, obwohl so viele Menschen sie weltweit tragen“
„Es überrascht mich, dass wir nicht mehr oder bessere Studien darüber haben, welche Effekte die Masken tatsächlich herbeiführen. Länder wie Spanien, Belgien haben ihre Bevölkerung Masken tragen lassen – trotzdem gingen die Infektionszahlen hoch.“
перевод:
"Верить в то, что маски могут решить нашу проблему, очень опасно"
"Результат, который можно получить с помощью масок, на удивление слабый, даже несмотря на то, что многие люди во всем мире носят их"
"Я удивлен, что у нас нет большего или лучшего исследования того, какое действие маски на самом деле производят. В таких странах, как Испания и Бельгия, население носит маски, тем не менее, количество инфекций увеличилось."
"the production of non-medical masks may offer a source of income for those able to manufacture masks within their communities. Fabric masks can also be a form of cultural expression, encouraging public acceptance of protection measures in general."
перевод:
"Производство масок немедицинского назначения может стать источником дохода для тех, кто может производить маски в своих общинах. Тканевые маски также могут быть формой культурного самовыражения, побуждая общественность принять меры защиты в целом."
Т.е. даже если от ковида не спасет, то хоть народные промыслы поддержите.
Еще раз хочу подчеркнуть главную мысль - убедительных доказательств пользы масок нет. Но есть смутные подозрения. И, исходя из того, что лучше перебдеть, чем недобдеть ВОЗ их таки рекомендует. Но никаких причин надеятся на то, что это - альтернатива локдауну, я не вижу.
Действительно нет "убедительных доказательств защиты" – но речь о защите в условиях контакта здорового человека с неприкрытым маской инфицированным.
В условиях же, когда инфицированный (который порой сам об этом не догадывается) тоже в маске, как и все – доказательств даже не требуется, маска на нём защищает окружающих от него самого.
Об этом там тоже говорится. Но вы почему-то процитировали только "удобные" вам моменты, начисто проигнорировав остальное. Чтобы не мучиться с переводами – там рядышком лежит русская версия этого документа, которую может прочесть любой желающий. И там русским по белому написано всё то, чего вы предпочли "тактично не заметить"...
Тегнелл не говорит, что маски бесполезны, но говорит результат от их применения "удивительно слабый" (нем. "erstaunlich schwach"). А как можно надеятся или полагаться на то, что дает "удивительно слабый" эффект?
Да, все так там и написано. Насколько я понимаю именно это соображение заставило ВОЗ в свое время развернуться на 180 градусов и сменить рекомендацию с "не носить маски" на "носить маски". И я согласен, что они были правы. В критической ситуации быстрые решения важнее идеально выверенных.
Но только это все были теоретические соображения.
С тех пор прошло 4 месяца. Эксперемент с масками проведен в планетарном масштабе. И чего мы добились? Кто сегодня может ответить на вопрос - "насколько обязательное ношение масок снижает R0?" Полезно было бы знать для принятия решений, не правда ли? Историй успеха, когда введением локдауна удавалось сбивать волну - сколько угодно на любой вкус и цвет (другой вопрос - какой ценой). А где они для масок? А вдруг они не работают вовсе? Но всем почему-то пофигу, вместо того, чтобы разобраться и принимать обоснованные решения - сплошной креатив на тему "каким бы еще образом обмотать граждан масками".
Это, конечно же, мало что меняет в том насколько доказана польза от масок при предохранении от вируса.
"Ношение медицинской маски является одной из профилактических мер по ограничению распространения определенных видов респираторных инфекций, в том числе 2019-нКоВ, в пораженных районах. Однако использования маски как единственного средства недостаточно для обеспечения адекватного уровня защиты, и следует принимать также другие, не менее важные меры."
[...]
"• [При отсутствии респираторных симптомов] медицинская маска не требуется, так как нет доказательств ее полезности для защиты от заражения."
Вот именно последняя старая фраза до сих пор является жупелом всех "антимасочников". Но при этом совершенно не учитывается, что после того, как уже в разгар эпидемии выяснилось существование "бессимптомных" больных, формулировка ВОЗ обновилась: когда неизвестно, кто здоров а кто болен – массовое ношение масок активно приветствуется.
При этом уточнение, что в условиях контакта с инфицированным без маски своя маска человеку почти не поможет – из рекомендаций ВОЗ также никуда не делось.
Этот вот весьма логичный ход событий противники масок и называют якобы "разворотом на 180 градусов" – тем самым устраивая массу "споров" с изначально неверными тезисами (как у вас сейчас)...
Раньше на каждой обложки были бабы с голыми сиськами, теперь приходится по-другому завлекать.
Но есть одно но. Даже самая выдающаяся концепция должна пройти проверку реальностью. Возьмем, к примеру, лоботомию. Ее, между прочем, нобелевский лауреат придумал. И наверняка у него были блестящие теоретические основания. Но кончилось тем, что кучу людей искалечили. Стоит ли продолжать эту практику в 21м веке? Ответ очевиден…
Все, что есть сейчас за ношение масок – это теоретические соображения и эксперименты на хомячках. При этом, масштабный эксперимент с масками уже поставлен на людях. Есть куча данных, есть статистические методы, позволяющие их обработать, есть возможность найти ответы. Не нужно никакого оборудования сложней компьютера. Результат может быть от – «маски вредны» (тогда их надо перестать носить) до «маски помогают лучше, чем карантин» (тогда их надо всячески продвигать).
И тут я подхожу к самому удручающему моменту. Вы можете назвать хоть одного политика, хоть одно должностное лицо, предлагающее разобраться? Фиг там, все уже определились. Одни получили свой «золотой молоток» и креативят на тему «где бы еще заставить людей носить маски». Другим видимо тоже пофигу. Тут очень резонно написали «что главный государственный эпидеомолог Швеции удивляется отсутвию исследований на важную тему вместо того, чтобы самому иницировать такое исследование.» Все это весьма печально.
www.who.int
Впрочем, вы так пишите, как будто я за это ВОЗ ругал. Как раз наоборот! Если они способны реагировать на новые факты и исправлять ошибки, то я их только уважать больше буду.
Еще раз хочу подчеркнуть - я даже не пытаюсь спорить со всеми теоретическими аргументами в пользу масок. У меня для этого нет ни знаний, ни опыта. Даже то, чему учили в школе на биологии я давно забыл. Но даже самая выдающаяся концепция должна пройти проверку реальностью. И вот тут я каких-то особых успехов не вижу.
Но это рекомендация настоятельная и категорическая, практически требование персональной безопасности для тех, кто регулярно общается с уже точно выявленными больными.
Решения же о массовом ношении – "просто приветствуются". То есть, не носят характер категорического требования ВОЗ. Но при наличии такой возможности также считаются эффективной мерой "первичной" профилактики (уже массовой) – и каждая страна решает вопрос о введении/отмене всеобщего "масочного режима" уже исходя из собственных соображений.
Поэтому в случае с Ковидом не изобрели совершенно ничего нового, это не просто какая-то "концепция" – это давно известное и хорошо проверенное решение.
Всё непонимание тут возникает лишь оттого, что очень многие почему-то ошибочно путают понятия "эффективность" и "полная защита".
Полная защита – стремящаяся к 100%, что вообще практически невозможно обеспечить в бытовых условиях. Эффективность – любой процент защиты, сколь-либо заметно отличный от нуля и пригодный для массового применения.
За неимением первого варианта – пока и остаются только варианты из второй категории. В число которых входят и маски. Тут всё просто и нет совершенно никаких ни противоречий, ни уж тем более "неспособности разобраться"...
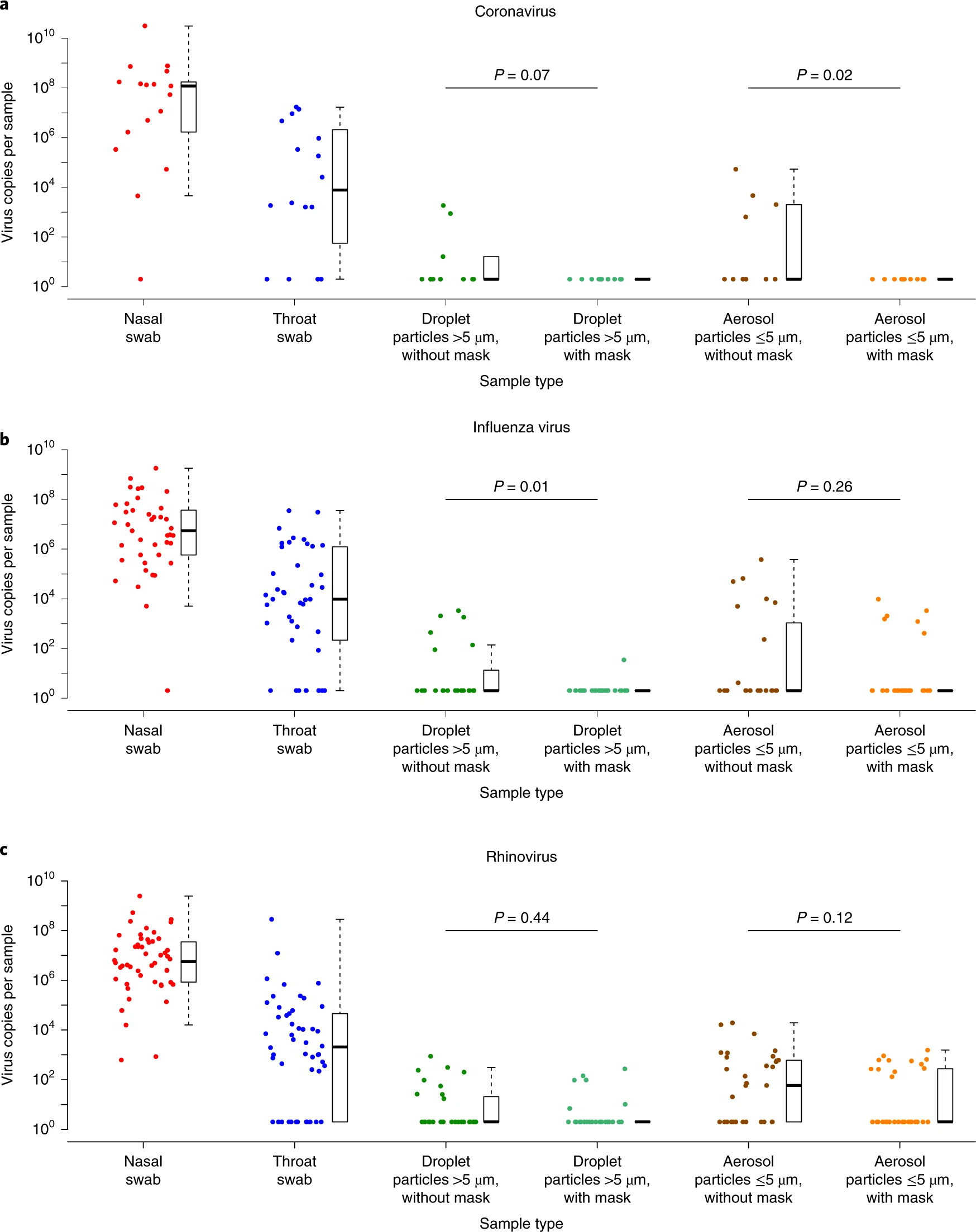
Нет, это я точно не путаю. Понятно как это работает. Допустим 10 человек за время болезни заражают 12, те заразят 14 и т.д. К 30-му циклу заболеет 1916 человек (все цифры округлены до целых для простоты), а всего заразится 11451.
Теперь наденем на них маски. Очень неэффективные, предотвращающие всего 17% заражений. Теперь они уже заразят всего 10, те тоже 10 и за 30 циклов наберется всего 300 человек. Разница в 38 раз просто за счет предотвращения всего-навсего 17% заражений.
Теперь представим, что маски ввели во время эпидемии. Сможем ли мы оценить эффективность масок? Безусловно. Посчитаем R0, построим график, на нем будет заметен спад, видимый невооруженным глазом.
А теперь возьмем значения R0 для Германии любезно посчитанные институтом Роберта Коха (источник www.rki.de , графика там нет, надо строить самому, я брал 7-дневный R0 из колонки К)
www.exler.ru
Маски по всей Германии ввели практически одновременно. Вы сможете определить по графику, когда именно?
Не буду тянуть кота за хвост - это произошло между 20 и 27 апреля. 24 апреля R0 составил 0.81 и после этого только рос. Где здесь эффект защиты сколь-либо заметно отличный от нуля? Может вам известна хоть одна страна/штат/крупный город где этот эффект можно заметить?
Я тут заинтересовался: "а доказали ли?" и довольно быстро наткнулся на такое исследование от Кембриджа: www.cambridge.org
исследование содержит обзор результатов других исследований относительно эффективности масок для предотвращения гриппа. Результат неутешительный:
"In conclusion there remains a substantial gap in the scientific literature on the effectiveness of face masks to reduce transmission of influenza virus infection. While there is some experimental evidence that masks should be able to reduce infectiousness under controlled conditions, there is less evidence on whether this translates to effectiveness in natural settings. There is little evidence to support the effectiveness of face masks to reduce the risk of infection."
"В заключение, в научной литературе по-прежнему существует значительный пробел в отношении эффективности масок в снижении передачи вируса гриппа. Хотя есть некоторые экспериментальные доказательства того, что маски должны снижать заразность в контролируемых условиях, есть меньше доказательств того, что это влияет на эффективность в естественных условиях. Существует мало доказательств, подтверждающих эффективность масок для снижения риска заражения."
Спасибо за подсказку, сам бы я не додумался искать в этом направлении.
Во-вторых, массово носить маски начали намного раньше этого срока – тогда ещё добровольно (немецкому минздраву даже пришлось жаловаться, что им самим не хватает масок). В указанный же вами период было введено лишь обязательное ношение – уже для последних отказывающихся, со всеми наказаниями.
Поэтому точно определить "переломный момент" достаточно сложно (если вообще возможно).
Видно лишь, что для Германии с середины-конца апреля общий график заражённых начинает выходить на плато. А вслед за этим примерно с начала-середины мая на плато уверенно выходит и общий график смертности.
Упомянутый R0 – конкретно в данном случае – показатель достаточно отвлечённый, проще смотреть на общую картину.
Во-первых, это вообще не "исследование" – а лишь попытка компиляции результатов прошлых исследований ("We reviewed the English-language literature on this subject to inform public health preparedness.").
Во-вторых – даже там эффективность рассматривалась с точки зрения защиты здорового носителя маски от больных, а не защиты здоровых от больного носителя маски.
То есть, именно то, что я и говорил с самого начала – самая простая и массовая нынче маска предназначена фильтровать не столько вдох здоровых, сколько выдох больных.
P.S. Вот, например, исследование эффективности масок конкретно на выдох:
Абсолютно не согласен. Вот вам 4 графика. На верхнем левом - спад числа зараженных от 1000 при постоянном R0=0.9. На верхнем правом - в середине R0 падает с 0.9 до 0.85. Вы их можете визуально отличить? Но если посмотреть на графики R0 снизу, то этот спад увидит даже слепой.
>> середины-конца апреля общий график заражённых начинает выходить на плато
А вот и нет. Не было в Германии никакого "плато". В апреле там сильный спад (из-за карантина), в мае - замедление спада (из-за ослабления карантинных мер), в июне - всплеск (из-за крупной вспышке на мясокомбинате), в июле - новый подъем (предположительно из-за возвращающихся из путешествий). Все время - то вверх, то вниз, никаких плато. На графике R0 это все видно. А на общем графике заражений - уже не так четко или не видно вовсе. Причина - по сравнению с первой высокой "волной" все последющие изменения уже не выглядят масштабно, даже если в процентном отношении они больше изменений на "волне".
Как видите очень даже многие события на графике очень четко проявляются. Несмотря на то, что параллельно происходит много всяких событий. Только масок почему-то не видно.
Это не повод объявлять маски бесполезными с порога. Но это повод разобраться. И выяснить истинную эффективность масок НЕ в лабораторных условиях.
>> Во-первых, это вообще не "исследование"
Это да, "исследование" - термин не точный. Пусть будет "обзор". Но так даже лучше. Они обобщают данные нескольких исследований, 4 из них, относящихся к эффективности масок в обычных домохозяйствах доступны по ссылкам из обзора. И если все исследования указывают на одно и то же, то это дает большую степень уверенности, чем результат отдельного исследования. Они там удобно свели результаты в таблицу (Table 2 для применения в немедецинских учреждениях). И каждая строчка таблица начинается со слов "No significant difference..." (нет значительной разницы [между группой, носившей маски и контрольной]).
>> даже там эффективность рассматривалась с точки зрения защиты здорового носителя маски от больных, а не защиты здоровых от больного носителя маски.
Не очень понял откуда такой вывод. Я прокликал исследования, на которые они ссылаются (из таблицы 2). В первом из них четко указывалось "surgical facemasks plus hand hygiene (137 households) for ALL household members." В остальных совсем прямым текстом так не написано, но никаких указаний на то, что заболевшие не носили маски нет. Все исследования велись по одному шаблону - брали домохозяйства с заболевшим гриппом, выдавали им маски, контрольной группе - не выдавали и смотрели насколько ситуация будет лучше в группе с масками. Фильтровались и вдохи здровых и выдохи больных. Результат - никаких статистически значимых успехов.
>> P.S. Вот, например, исследование эффективности масок конкретно на выдох:
Ну еще раз повторю цитату из кембриджского обзора: "Хотя есть некоторые экспериментальные доказательства того, что маски должны снижать заразность в контролируемых условиях, есть меньше доказательств того, что это влияет на эффективность в естественных условиях. Существует мало доказательств, подтверждающих эффективность масок для снижения риска заражения."
Вы приводите еще один пример доказтельства эффективности в лабораторных условиях. Но в естественных условиях оказывается, что все это совершенно не обязательно работает.
За 5 минут на коленке в рамках этого форума? Никак. Тут все же более серьезное исследование должно быть, с учетом влияния возможных факторов, анализом кучи данных и т.п.
По гриппу, например, такие есть. Надеюсь и по ковиду появятся.
Еще раз хочу подчеркнуть мою мысль - я не утверждаю, что я этим графиком доказал, что маски бесполезны. И близко нет. Я утверждаю, что было бы сильно лучше знать как та или иная мера влияет на распространение вируса. И принимать решения, основываясь на этой информации.
Никто не говорит, что этот фактор "не важен". Он как раз крайне важен и является основным.
Вам говорят лишь о том, что в условиях нынешней пандемии (плохая изученность вируса, порождающая крайне далёкие от совершенства наблюдения и учёт) – сам по себе этот параметр является совершенно неточным и отвлечённым, почти что "сферическим конём в вакууме" (отсюда же и разногласия по летальности).
Поэтому чтобы действительно хотя бы в общих чертах понять картину – пока имеет смысл использовать лишь доступные и точно доказанные данные.
А мы точно говорим об одной и той же Германии и/или об одном и том же определении плато? ))
Поэтому давайте опираться на более чёткие факты:
• Приведённое выше исследование доказывает способность масок достаточно неплохо задерживать вирусные частицы. Это в лабораторных условиях.
• Приведённые выше рекомендации ВОЗ, где ещё раз подтверждается, что маски являются хорошим средством профилактики – но лишь в совокупности с остальными мерами. Это в реальных условиях.
Из этого имеем простой и внятный вывод:
1) Маски работают (насколько это только возможно для таких простых и массово доступных СИЗ).
2) Маски помогают в сдерживании распространения, но ни разу не являются "панацеей" – для максимальной защиты вкупе (!!!) с использованием масок требуются ещё и другие меры профилактики.
Вот как-то так.
У нас же сейчас, скорее, получается нечто вроде "разбора полётов" по действиям различных властей и инстанций за уже прошедший период эпидемии...
Бумага, правда, раньше появилась, чем маски и перчатки.
Плато́ (фр. plateau, от plat — «плоский»)
После очень сильного спада числа заражений в апреле на общем графике действительно может показаться, что кривая стала плоской. Но это только на фоне волны в марте-апреле. Если построить график с мая по сегодня (прицепил), то видно, что по настоящему плоских горизонтальных участков на нем практически нет.
>> Впрочем, рыться в подобных "компиляциях" с весьма невнятными задачами (и ещё более невнятными выводами), и проверять все их источники – ни времени, ни желания, честно говоря.
Там очень внятная и задача - "собрать информацию по эффективности масок для предотвращения распостраниня гриппа" и более чем внятные выводы. Не нравится компиляция - есть ссылки на все исследования, для обычных домохозяйств их 4 штуки, все доступны онлайн. Кстати, если вы доверяете ВОЗ, то источники можно и не проверять - они совпадают с источниками ВОЗ. Вот таблица соответствия, слева, номер источника у Кембриджа, справа - у ВОЗ в рекомендациях по маскам:
14 <-> 56
16 <-> 52
17 <-> 62
>> • Приведённое выше исследование доказывает способность масок достаточно неплохо задерживать вирусные частицы. Это в лабораторных условиях.
Да, практически уверен, что так оно и есть.
>> • Приведённые выше рекомендации ВОЗ, где ещё раз подтверждается, что маски являются хорошим средством профилактики – но лишь в совокупности с остальными мерами. Это в реальных условиях.
А вот как эта формулирует ВОЗ, страница 8
"В настоящее время отсутствуют прямые доказательства (по данным исследований в отношении COVID-19, а также здорового населения) эффективности всеобщего и повсеместного применения масок здоровыми людьми в целях профилактики респираторных вирусных инфекций, в том числе COVID-19."
и далее прямо рекомедует:
рассмотреть вопросы о рациональности применения, возможных проблемах обеспечения снабжения и доступа, социальной и психологической приемлемости (использования или неиспользования различных типов масок в различных обстоятельствах);
• продолжать сбор научных сведений и фактических данных в отношении эффективности применения масок (в том числе различных типов и конструкции,
а также других средств для защиты лица, таких как шарфы) за пределами лечебно‑профилактических учреждений;
• оценить влияние (положительное, нейтральное или отрицательное) широкого применения масок населением (в том числе на основе опыта наук о
поведении и социальных наук).
ВОЗ призывает страны и общины, в которых рассматривается вопрос о выборе стратегий использования масок населением, провести тщательное
изучение эффективности данной меры в отношении профилактики и сдерживания распространения инфекции.
Зачем это делать в отношении подтвержденного "хорошего средства профилактики" не очень понятно. Никакого подтверждения, что "маски являются хорошим средством профилактики" я в документе не нашел.
Нынешний же подъём, скорее, на фоне общей усталости от ограничений и вызванного этим пофигизма. Сейчас во многих странах такое наблюдается.
Ну вообще ведь "ни о чём", ИМХО...
А в условиях, когда неизвестно, кто ещё здоровый а кто уже больной – есть весьма немалый смысл, чтобы вообще все прикрывались масками. Потому что к тому моменту, когда проявятся все симптомы и человек точно поймёт, что он болен – он уже может успеть перезаражать кучу людей.
Причём, даже явное недомогание далеко не для всех является поводом вызывать врача или хотя бы надевать маску. Вот именно из-за таких и приходится насильно заставлять всех.
Всё ведь проще простого.
Ну лекцию читать в маске - это нереально (моё ИМХО).